人々を約半世紀追跡した研究により身体能力がピークに達する年齢が判明

「体力や筋力は加齢とともに落ちていく」というのは多くの人が実感として知っていることですが、「どの年代がピークなのか」「低下はいつ頃から目立つのか」は感覚だけでは分かりにくい部分もあります。そこでスウェーデンの研究チームはアスリートなどの日頃から激しい活動をしていない一般の参加者集団を47年間にわたって追跡し、年を経ることで身体能力がどう変化するかを調べました。
Rise and Fall of Physical Capacity in a General Population: A 47-Year Longitudinal Study
https://onlinelibrary.wiley.com/doi/10.1002/jcsm.70134
47-Year Study Reveals The Age We Hit Our Physical Peak
https://www.sciencealert.com/47-year-study-reveals-the-age-we-hit-our-physical-peak
加齢と体力の関係を調べた研究はこれまでにもあったものの、主流だったのは「ある時点の集団を年齢別に比べる」横断研究です。スウェーデンのカロリンスカ研究所に所属するマリア・ヴェステルストール氏、グスタフ・ヨルノーケル氏らの研究チームは、横断研究だと加齢による身体能力の低下が小さく見積もられる可能性があるとして、同じ人を長く追う縦断データで確かめる必要があると考えました。
そこで研究チームが用いたのが、1958年生まれの一般人を対象とした長期的な身体活動と体力に関するコホート研究のデータです。参加者は16歳だった1974年の時点で登録され、その後も継続して追跡されました。今回の分析では16歳・27歳・34歳・52歳・63歳の計5回の測定データが使用されています。
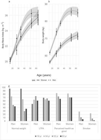
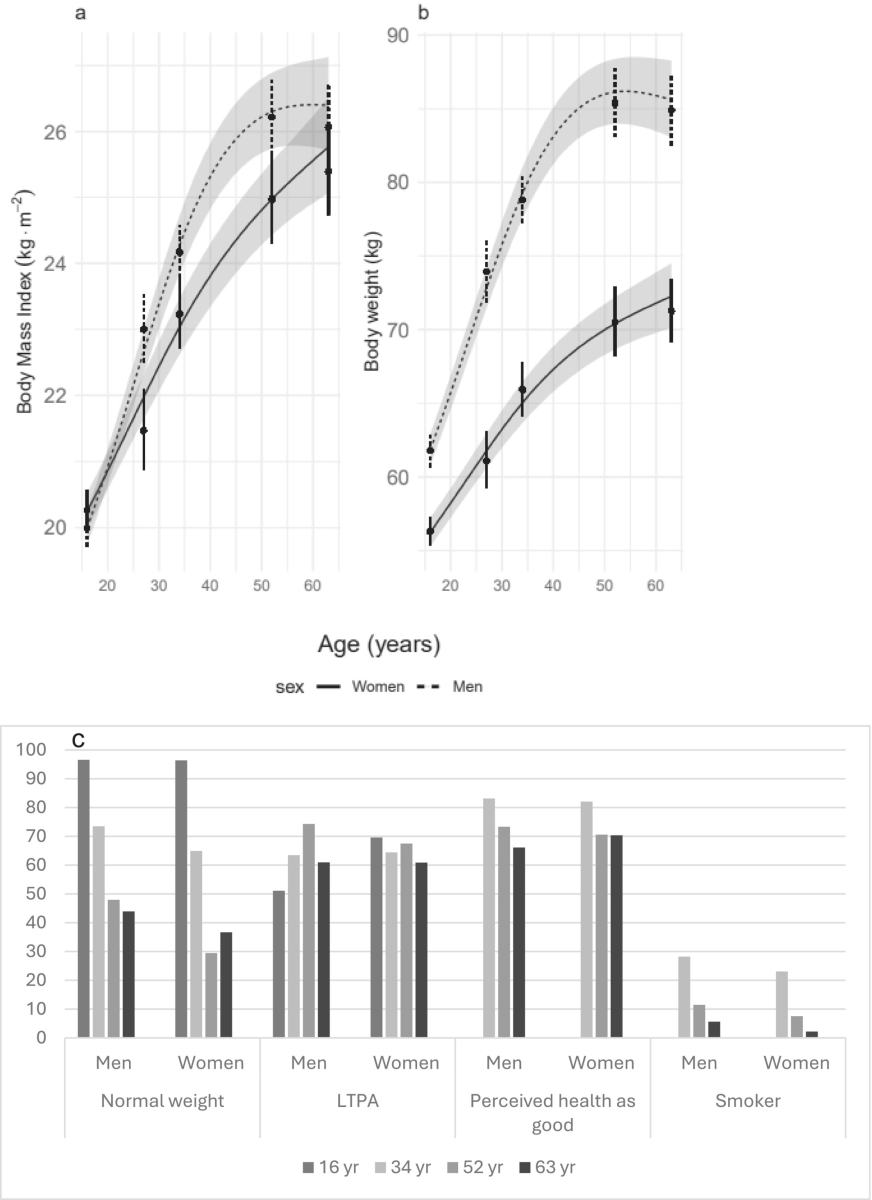
身体能力は体格や生活習慣の変化と切り離せないため、研究チームは能力の推移とあわせてBMI・体重の年齢推移、年齢時点ごとの標準体重の割合、余暇の身体活動(LTPA)、健康状態の自己評価、喫煙の割合も調べました。下のグラフ群は各要素についての経時的な変化をまとめたものです。なお、グラフの実線が女性、点線が男性、灰色の帯は推定の幅を表しています。

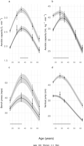
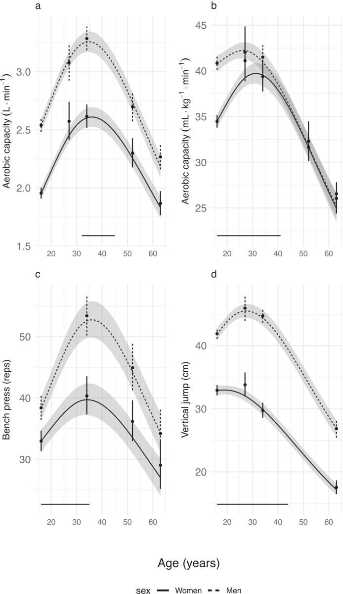
分析の結果、筋持久力と推定最大有酸素能力については性差はそれほどなく、26歳~36歳でピークに達した後、当初は年0.3%~年0.6%程度で低下し、その後は年2.0%~年2.5%程度まで低下が加速したと研究チームは報告しています。ただし、瞬発力についてはピークとなるタイミングが異なり、男性は27歳、女性は19歳でピークに達しその後は当初年0.2%~年0.5%程度で低下、のちに年2%以上へと低下が加速したとのこと。
年齢ごとの変化をまとめたのが下のグラフで、上の2つが絶対値と体重あたりの有酸素能力、左下が筋持久力の指標としてのベンチプレス反復回数、右下が瞬発力の指標としての垂直跳びの推移が並んでいます。

また研究チームは、身体能力がピークとなったタイミングから63歳時点までの身体能力の低下幅が、指標によって30%~48%の範囲に収まったと報告しています。持久力や筋力が一様に同じ割合で落ちるわけではなく、どの指標がどの程度下がるかには差がある形です。
研究チームは「ピークが何歳か」だけでなく、同じ年齢でも能力水準に差が出る点にも目を向けています。研究チームは、16歳時点で余暇の身体活動があった参加者では観察期間を通じて有酸素能力・筋持久力・瞬発力が高めに保たれたと述べています。
下のグラフ群はその差を項目別に示したものです。aのグラフは「有酸素能力(絶対値:L/分)」を大学学位の有無で分けたもの、bのグラフは「有酸素能力(絶対値:L/分)」を16歳時点で身体活動があったかどうかで分けたもの、cのグラフは「有酸素能力(体重当たり:mL/kg/分)」を16歳時点の身体活動の有無で分けたものとなっており、dのグラフは「筋持久力(ベンチプレス反復回数)」を大学学位の有無で分けたもの、eのグラフは「筋持久力(ベンチプレス反復回数)」を16歳時点の身体活動の有無で分けたもの、fのグラフは「瞬発力(垂直跳び)」を16歳時点の身体活動の有無で分けたものです。いずれも左が男性、右が女性で、年齢に沿った推移を描いています。

さらに研究チームは大人になってから運動を始めても効果があるかどうかも分析しました。その結果、成人後により活動的になった参加者は身体能力が約10%改善した可能性があると研究チームは報告しています。
下のグラフは追跡の途中で「より身体活動を行うようになったかどうか」で推移を比べたもので、aのグラフは「有酸素能力(絶対値:L/分)」、bのグラフは「有酸素能力(体重当たり:mL/kg/分)」、cのグラフは「筋持久力(ベンチプレス反復回数)」、dのグラフは「瞬発力(垂直跳び)」を示しており、いずれも実線が「途中から身体活動を行うようになった人」の推移、点線が「身体活動を行うようになっていない人」の推移を示しています。

結論として、研究チームは身体能力の低下は60代になってから突然始まるのではなく、30代半ば頃には始まる可能性があること、年齢が上がるほど身体能力の下がり幅が大きくなる可能性があることを示したと述べています。
さらに、運動していても身体能力のピークを後ろにずらすのは難しい一方で、運動の習慣は身体能力の低下速度や維持できる水準と結びつく可能性があると研究チームは報告しています。
研究チームは「多くの人の身体能力が35歳前後でピークに達する仕組み」を調べる必要があるとした上で、身体活動が低下を遅らせる可能性がある一方で、なぜ低下を完全には止め切れないのかについてもメカニズムを掘り下げる必要があると今後の課題を述べています。
・関連記事
早死とも関連し多くの人がリスクを抱える「サルコペニア」とは? - GIGAZINE
なぜ老いると筋肉が衰えるのか? - GIGAZINE
老化で筋肉が衰えるとどのような健康問題が起きるのか? - GIGAZINE
筋力が低い中高年は認知症になりやすいことが判明 - GIGAZINE
・関連コンテンツ
in サイエンス, Posted by log1b_ok
You can read the machine translated English article A study that followed people for about h….







