GPT-5.2と同等クラスの中華AI「Qwen3.5-397B-A17B」がオープンモデルとして登場

AlibabaのAI研究チームであるQwen(Tongyi Lab)がAIモデルのQwen3.5シリーズを2026年2月16日に発表し、シリーズ最初の製品としてオープンモデルの「Qwen3.5-397B-A17B」を公開しました。Qwen3.5-397B-A17BはGPT-5.2やClaude Opus 4.5、Gemini 3 Proといったクローズドモデルと同等の性能を示しています。
Qwen3.5: Towards Native Multimodal Agents
https://qwen.ai/blog?id=qwen3.5
GitHub - QwenLM/Qwen3.5: Qwen3.5 is the large language model series developed by Qwen team, Alibaba Cloud.
https://github.com/QwenLM/Qwen3.5?spm=a2ty_o06.30285417.0.0.72bcc921FFdCmR&file=Qwen3.5
Qwen3.5-397B-A17Bは数兆トークンに及ぶ膨大な学習データを用いてトレーニングされたAIモデルで、総パラメーター数は3970億、アクティブパラメーター数は170億です。大規模言語モデルと視覚言語モデルの機能を統合しており、コーディング性能やエージェント性能だけでなく画像・動画理解性能にも優れているのが特徴です。
Qwen3.5-397B-A17Bは強化学習を進めるごとに性能が向上したとのこと。完成版のQwen3.5-397B-A17Bは思考を伴わない処理でDeepSeek-V3.2-Thinkingを超える性能を示し、思考を伴う処理ではGPT-5.2 HighやGemini 3 Pro、Claude Opus 4.5といったクローズドモデルを上回りました。

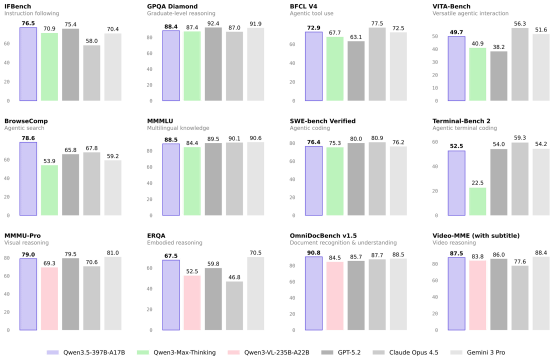
コーディング性能や視覚理解性能などを測定する各種ベンチマークの結果を並べた図が以下。左から順に「Qwen3.5-397B-A17B」「Qwen3-Max-Thinking」「Qwen3-VL-235B-A22B」「GPT-5.2」「Claude Opus 4.5」「Gemini 3 Pro」のスコアを示しており、テストによってはQwen3-VL-235B-A22Bが最高スコアを記録していることが分かります。

Qwen3-VL-235B-A22BはこれまでのQwenシリーズと比べて処理が効率化されており、Qwn3-Maxと比べて32Kトークンでは8.6倍、256Kトークンでは19倍高速な処理が可能です。

Qwen3-VL-235B-A22Bでウェブサイトをコーディングする様子を記録した動画が以下。高品質なウェブサイトを作成できています。
Coding: Website pic.twitter.com/ILL5PvEEKb
— Qwen (@Alibaba_Qwen) February 16, 2026
さらに、3DCGによるレーシングゲームも開発可能です。
Coding: Car Game pic.twitter.com/JJWFLnbQP9
— Qwen (@Alibaba_Qwen) February 16, 2026
Qwen3-VL-235B-A22Bのモデルデータは以下のリンク先で公開されています。
Qwen/Qwen3.5-397B-A17B · Hugging Face
https://huggingface.co/Qwen/Qwen3.5-397B-A17B?spm=a2ty_o06.30285417.0.0.72bcc921FFdCmR&file=Qwen3.5-397B-A17B

また、Qwen ChatではQwen3-VL-235B-A22Bに加えて100万トークンの入力に対応したQwen3.5-Plusを使うことができます。さらに、Qwen3.5-PlusはAlibaba Cloud Model StudioのAPI経由でも使用可能です。

・関連記事
画像生成AI「Qwen-Image-2.0」が登場、実写と文字に強くEditモデルとの統合も果たす - GIGAZINE
軽量で高性能なコーディングエージェント「Qwen3-Coder-Next」が登場 - GIGAZINE
AlibabaがGPT-5.2と同等性能の推論AIモデル「Qwen3-Max-Thinking」を発表 - GIGAZINE
日本語を含む10言語に対応した音声生成モデル「Qwen3-TTS」ファミリーがオープンソース化 - GIGAZINE
Gemini 3.0 ProやGPT-5.2に匹敵する中国製AI「GLM-5」が登場、Word文書作成などの事務作業も可能でモデルを自由にダウンロード可能 - GIGAZINE
中国のAI企業MiniMaxが「M2.5」を発表、GPT・Gemini・Claudeに並ぶ性能でありながらコストは10分の1以下 - GIGAZINE
OpenAIが超高速コーディングAI「GPT-5.3-Codex-Spark」を発表、NVIDIA以外のAIチップで高速動作を実現しリアルタイムコーディングを可能に - GIGAZINE
Windows・macOS・Linux・Android・iOSと連係しさまざまな操作ができセルフホスト可能なパーソナルAIアシスタント「OpenClaw」 - GIGAZINE
・関連コンテンツ
in AI, Posted by log1o_hf
You can read the machine translated English article Chinese AI 'Qwen3.5-397B-A17B,' equivale….







